
영일만 해수 및 퇴적물 중금속 농도의 시공간적 변동
초록
본 연구에서는 2000년부터 2023년까지 영일만 해역에서 해수 및 퇴적물 내 중금속 농도의 시공간적 변동을 분석하였다. 영일만은 대규모 산업단지가 위치해 있어 중금속 오염의 위험이 높은 해역으로, 본 연구는 중금속 농도의 변화 추이와 주요 오염원, 산업 활동이 해양생태계에 미치는 영향을 종합적으로 평가하고자 하였다. 해수에서 Cu, Zn, Cd, Pb, Cr6+, T-Hg, As를, 퇴적물에서 Cu, Zn, Pb, Cd, Cr, Hg, As, Ni, Mn, Co, Li, Fe, Al을 분석하고 해양환경기준과 비교하여 오염도를 평가하였다. 해수 중 중금속 농도는 시공간적으로 큰 변동성을 보였으며, 특히 2000년대 초·중반 일시적으로 증가한 뒤 점차 감소하는 경향이 나타났다. 퇴적물의 경우 해양환경기준이 설정된 8개 금속 중 7개가 일부 시료에서 주의기준을 초과하였는데, 특히 Cu와 Zn는 대부분의 연도에서 각각 20.60 mg/kg, 68.40 mg/kg의 주의기준을 초과하였다. 공간적으로는 항만해역(H1, H2)에서 가장 높은 농도가 관찰되었으며, 시간적으로는 2010년대 이후 Cr, Hg, As 농도가 점차 증가하는 경향을 보여, 형산강을 통한 산업 배출수 유입, 대기 침적 등 다양한 오염원의 기여 가능성을 시사한다. 본 연구는 영일만에서 장기간에 걸친 중금속의 분포와 변동 추세를 분석하여, 지속적인 모니터링과 오염원 관리의 필요성을 강조하고, 향후 연안환경 관리 정책 수립을 위한 중요한 과학적 기초자료를 제공한다.
Abstract
This study analyzes spatiotemporal heavy metal variations in Yeongil Bay seawater and sediments (2000 to 2023). Yeongil Bay, which hosts large-scale industrial complexes, is considered a region at high risk of heavy metal contamination. This study aimed to comprehensively evaluate spatiotemporal trends in heavy metal concentrations, identify pollution sources, and assess the industrial impact on the marine ecosystem. Concentrations of Cu, Zn, Cd, Pb, Cr6+, T-Hg, and As in seawater, and Cu, Zn, Pb, Cd, Cr, Hg, As, Ni, Mn, Co, Li, Fe, and Al in sediments, were analyzed and compared with marine environmental standards. Seawater concentrations exhibited considerable spatiotemporal variability, temporarily increasing in the early to mid-2000s before gradually declining. In sediments, seven of the eight metals exceeded the threshold effect levels (TEL); specifically, Cu and Zn surpassed 20.60 mg/kg and 68.40 mg/kg in most years. Spatially, port stations H1 and H2 exhibited the highest concentrations. Since the 2010s, progressive increases in Cr, Hg, and As concentrations suggest potential contributions from various sources, including industrial effluents via the Hyeongsan River, atmospheric deposition. This study highlights the necessity of continuous monitoring and pollution source management in Yeongil Bay, and provides a scientific basis for future coastal environmental management policies.
Keywords:
Heavy metal, Yeongil Bay, Marine environment monitoring, Spatiotemporal variation, Seawater, Sediments키워드:
중금속, 영일만, 해양환경측정망, 시공간적 변동, 해수, 퇴적물1. 서 론
최근 수십 년간 산업화와 도시화로 인해 중금속을 포함한 다양한 오염물질들이 해양환경에 유입되며 환경 문제로 부각되고 있다. 중금속은 암석 풍화, 화산 활동, 대기 강하물 등 자연적 기원과, 산업 폐수 방류, 광업 활동, 농업용수 배출, 선박 활동 등 인위적 기원을 통해 연안환경으로 유입된다(Nouri et al.[2008]; Singh et al.[2008]). 특히 산업단지와 항만이 밀집한 연안 환경은 육상으로부터 직접적인 오염원을 받는 곳으로, 전 세계적으로 연안해역에서 중금속의 거동, 축적, 생태학적 영향을 규명하려는 연구들이 활발히 진행되고 있다(Morillo et al.[2004]; Ra et al.[2013]; Wang et al.[2013]; Qu et al.[2018]; Liu et al.[2020]; Kim and Kim[2023]).
중금속은 다양한 환경 매질(matrices)에서 극미량 농도(ppb 범위에서 10 ppm 미만)로 존재하기 때문에 미량 금속(trace metals)으로 간주된다(Kabata-Pendias[2000]). 이러한 금속 원소들은 해양환경에서 매우 낮은 농도로 해수에 존재하면서, 영양염, 오염물질 등 다양한 해양 과정의 추적자로 기능한다. 철(Fe), 구리(Cu), 니켈(Ni), 카드뮴(Cd), 아연(Zn) 등은 해양 생물에게 필수적인 미량 영양염으로서 광합성, 효소 활성화, 호흡 대사 등 여러 대사 기능에 중요한 역할을 수행한다(Morel and Price[2003]; Bruland et al.[2014]). 반면 납(Pb) 등의 일부 미량 중금속은 독성을 나타내며 주로 인위적 오염원과 연관되어 해양 생태계에 부정적 영향을 미친다(Boyle et al.[2014]).
해양으로 유입된 중금속은 입자물질에 흡착되어 퇴적물 내에 축적되며, 퇴적물은 물리화학적 조건 변화에 따라 탈착 및 재이동(remobilization)되어 해수 중으로 용출될 수 있는 잠재적 공급원(source)이자 저장소(sink) 역할을 한다(Long et al.[1996]; Fichet et al.[1998]; Ra et al.[2013]). 수생 생태계에서 가장 큰 중금속 저장소는 퇴적물이며(Gaur et al.[2005]), 퇴적물에서 방출된 중금속은 수괴 내 용존 금속 농도의 주요 조절 인자로 작용한다(Huang et al.[2012]). 따라서 해수와 퇴적물에서 중금속의 분포 특성을 파악하는 것은 중금속 거동과 그 환경 영향 평가에 있어 중요하다.
퇴적물과 수층에 존재하는 중금속은 먹이사슬을 통해 생물농축을 일으킬 수 있으며, 잠재적으로 인체 건강에도 심각한 영향을 미칠 수 있다(Lim et al.[2013]). 중금속은 전신 독성물질(systemic toxicants)로 간주되며, 여러 장기에 손상을 입히고 기형 발생 및 발암 작용을 유발할 수 있다(Tchounwou et al.[2012]). 예를 들어, 만성 노출에서 낮은 농도로 비소는 피부암·폐암을, 카드뮴은 유방암·난소암을 유발할 수 있음이 보고되었다(Hong et al.[2014]; Adams et al.[2014]).
영일만은 동해안에 위치한 반 폐쇄성 만으로, 다수의 산업단지가 조성되어 산업화가 집중된 해역으로서 포항구항 및 신항을 비롯한 주변 산업단지에서 배출되는 생활폐수 및 산업폐수의 유입으로 인해 연안 수질오염이 심화되고 있는 것으로 보고되어 왔다(Kang et al.[2002]; Kim and Kim[2004]). 최근 영일만 일대가 이차전지 특화 산업단지로 개발됨에 따라, 오염에 대한 체계적인 환경 모니터링과 관리가 요구되는 상황이다. 영일만 내 중금속 오염 문제가 대두되며 많은 연구들이 진행되고 있으나(Lee et al.[2004]; Koh et al.[2006]; Kim and Kim[2023]), 장기간에 걸쳐 해수와 퇴적물 내 중금속 농도의 변동을 평가한 연구는 전무하다. 따라서, 본 연구에서는 영일만에서 해수 및 퇴적물 내 중금속의 시·공간적 분포 특성을 이해하고 장기적 변동 추세를 파악하여 향후 연안환경 관리를 위한 기초 자료를 제시하고자 하였다.
2. 재료 및 방법
2.1 연구해역
영일만은 한국 동해안에 위치한 대표적인 반폐쇄성 만으로서, 만 입구의 폭은 약 10 km이며 만 내부로 약 12 km 만입되어 있다(Fig. 1). 전체 면적은 약 120 km2에 달하며, 동해안에서 가장 큰 하천인 형산강을 비롯하여 냉천, 여남천 등 다수의 하천으로부터 담수와 토사의 유입을 받고 있다(Kim[2001]). 형산강의 연간 담수 유출량은 약 6 × 108 m3로 알려져 있다(Lee et al.[2003]). 특히 형산강 하구에는 포항구항과 신항이 조성되어 있으며, 영일만 주변으로는 대규모 제철소를 포함한 산업단지가 위치해 있기 때문에 한국에서 가장 산업화된 해역 중 하나로 간주된다(Fig. 1, Table 1). 이러한 지리적 특성으로 약 300,000 m3 d-1 규모의 산업 폐수 및 생활하수가 형산강을 통해, 또는 직접 영일만으로 유입되고 있다(Koh et al.[2006]).
2.2 연구 데이터
영일만 해수 및 퇴적물 내 중금속 농도의 시공간적 변동을 분석하기 위해 해양환경공단에서 수행한 해양환경측정망 자료 중 중금속 농도가 제시되어 있는 2000년부터 2023년까지의 자료를 활용하였다. 해양환경측정망 관측 자료는 해양환경정보포털(https://www.meis.go.kr/)에서 획득하였다. 해양환경공단은 우리나라 연안 및 근해역의 해양환경 상태와 오염원에 대한 조사를 정기적으로 실시하고 있으며, 이를 통해 해양환경 현황을 종합적으로 해석하고 국가해양환경관리 및 보전정책 수립을 위한 기초자료를 제공하고 있다. 해양환경측정망은 전국연안 425개 정점에서 운영되며, 영일만은 동해생태구역의 하천영향 및 반폐쇄성해역 환경측정망에 속하여 11개 정점에서, 항만 환경측정망에 속하여 2개 정점에서, 연안해역 환경측정망에 속하여 1개 정점에서 조사가 수행되고 있다. 측정망은 1997년부터 현재까지 연 4회(2월, 5월, 8월, 11월) 정기적으로 운영되며, 표층과 저층 2개 수층에서 조사가 이루어진다.
본 연구에서는 수온, 염분, 용존산소량(Dissolved oxygen; DO), 화학적산소요구량(Chemical Oxygen Demand; COD), 총질소(Total Nitrogen; TN), 총인(Total Phosphorus; TP), 클로로필(Chlorophyll-a; Chl-a)의 총 7개 항목으로 해수 시료의 물리화학적 특성을 파악하였으며, 평균입도(Mean grain size: Mz), 산 휘발성 황화물(Acid Volatile Sulfide: AVS), 강열감량(Ignition Loss: IL), 화학적산소요구량(Chemical Oxygen Demand: COD)의 4개 항목으로 퇴적물 시료의 물리화학적 특성을 파악하였다. 해수 중금속 분석 항목은 구리(Cu), 납(Pb), 아연(Zn), 카드뮴(Cd), 6가크롬(Cr6+), 총수은(T-Hg), 비소(As)의 7개 항목이며, 퇴적물 중금속 분석 항목은 구리(Cu), 아연(Zn), 납(Pb), 카드뮴(Cd), 크롬(Cr), 수은(Hg), 비소(As), 니켈(Ni), 망간(Mn), 코발트(Co), 리튬(Li), 철(Fe), 알루미늄(Al)의 13개 항목을 대상으로 하였다.
중금속 데이터는 영일만 내 5개 정점에서 조사되었으며, 해수 중금속은 2월과 8월 표층에 조사되었고, 퇴적물 중금속은 2월에만 조사되었다. 이에 따라 2000년부터 2023년까지 해수 중금속은 2월과 8월 표층 데이터를, 퇴적물 중금속은 2월 데이터를 분석에 활용하였다. 퇴적물 중금속 항목 중 니켈(Ni), 망간(Mn), 코발트(Co), 리튬(Li), 철(Fe), 알루미늄(Al)의 경우 2012년 이후 조사항목이 확대되어 분석되었다. 또한 해양환경 변화에 영향을 미치는 환경 요인으로 기상청 기상자료개방포털(https://data.kma.go.kr/)의 강수량 자료를 함께 분석에 활용하였다. 본 연구에서 자료의 대표값 산출은 각 정점 및 시기별 데이터를 가중치 없이 합산하여 단순 산술 평균(Simple Arithmetic Mean)을 적용하였다. 또한, 모든 분석 자료는 해양환경공정시험기준(Standard Methods for the Examination of Marine Environment)에 준거하여 생산된 국가 승인 통계임을 전제로 하여, 별도의 분석법 검증 과정 없이 해당 자료를 인용하여 결과의 신뢰성을 확보하였다.
3. 결과 및 고찰
3.1 해수 물리화학적 특성
본 연구에서 분석된 2000년부터 2023년까지의 2월, 8월 표층 해수의 수온, 염분, 용존산소량(Dissolved oxygen; DO), 화학적산소요구량(Chemical Oxygen Demand; COD), 총질소(Total Nitrogen; TN), 총인(Total Phosphorus; TP), 클로로필(Chlorophyll-a; Chl-a)의 평균 값을 Fig. 2에 나타내었다.
Long-term changes (2000–2023) in surface water parameters (temperature, salinity, dissolved oxygen (DO), chemical oxygen demand (COD), total nitrogen (TN), total phosphorus (TP), and chlorophyll-a (Chl-a)) based on the mean values for February and August in Yeongil Bay.
수온은 8.0에서 26.2 ℃의 범위(평균: 16.7 ± 7.2 ℃)를 보였다. 연중 2월은 낮고 8월은 높은 계절적 변동이 뚜렷하게 나타났다. 비록 통계적으로 유의하지는 않았으나(p > 0.05), 장기적으로 연평균 수온이 완만하게 상승하는 경향이 나타났다.
염분은 2.6에서 34.3 psu의 범위(평균: 31.8 ± 4.9 psu)를 보였다. 계절적으로는 겨울철에 높고 여름철에 낮아지는 경향이 나타났으며, 이는 겨울철의 적은 강수량으로 인한 담수 유입 감소와, 여름철의 상대적으로 많은 강수량으로 인한 담수 유입 증가를 반영한다. 특히 2014년 8월에는 평균 염분이 5 psu 이하로 급격히 감소하는 이상치(anomaly)가 관찰되었는데, 이는 2013년 8월 강수량(85 mm)과 비교하여 2014년 8월 조사 시기의 강수량(453 mm)이 5배 증가한 결과를 보아 저염분 현상으로 인해 발생했을 가능성이 크다.
용존산소(Dissolved oxygen; DO)는 6.5에서 11.8 mg/L의 범위(평균: 9.0 ± 1.0 mg/L)를 나타냈다. 2020년 8월에 11.8 mg/L로 최대값을 기록하였으며, 뚜렷한 계절적 변동은 나타나지 않았다.
화학적산소요구량(Chemical Oxygen Demand; COD)은 0.3에서 7.5 mg/L의 범위(평균 1.3 ± 1.0 mg/L)로 나타났다. 전반적으로 겨울철보다 여름철에 다소 증가하는 경향을 보였으나 통계적으로 유의한 수준은 아니었다(p > 0.05). 특히, 염분이 5 psu 이하로 매우 낮았던 2014년 8월에 COD 평균 값이 7.5 mg/L로, 다른 시기와 비교해 현저하게 높았다. 따라서 이는 2014년 8월에 담수 유입을 통해 많은 양의 유기물이 영일만 해역으로 유입된 것이 주된 원인으로 보이며, 이로 인해 평균 COD가 일시적으로 크게 증가한 것으로 판단된다.
총질소(Total Nitrogen; TN)는 149.0에서 1808 μg/L의 범위(평균: 283.2 ± 339.6 μg/L)를, 총인(Total Phosphorus; TP)은 6.36에서 107 μg/L의 범위(평균: 15.6 ± 26.9 μg/L)를 나타냈다. 장기적으로 두 항목 모두 감소하는 추세를 보였으나 통계적 유의성은 없었다(p > 0.05). TN과 TP 또한 염분이 5 psu 이하로 매우 낮았던 2014년 8월에 최대값을 기록하며, 영일만에서 담수의 유입이 영양염 농도를 결정하는 주요 요인임을 시사한다.
클로로필(Chlorophyll-a; Chl-a)은 0.23 에서 30.0 μg/L의 범위(평균: 5.52 ± 4.02 μg/L)를 보였다. 겨울철에 낮고 여름철에 상대적으로 높은 계절적 양상을 보였으며, 장기적으로는 감소하는 경향이 나타났으나 유의하지 않았다(p > 0.05). 평균 염분값이 5 psu으로 매우 낮게 나타나고 TN, TP 값이 높게 나타난 2014년 8월에 가장 높은 평균 Chl-a 값이 나타났는데, 이는 높은 강수량으로 인한 육상 기원 영양염류의 유입으로 인해 식물플랑크톤의 생체량이 증가한 것이 주된 원인으로 판단된다.
3.2 해수 중금속 농도의 시계열 분포 특성
분석을 통해 얻어진 해수 중금속의 연도별 평균 농도를 Fig. 3에 나타내었다. 해수 중 중금속 평균 농도는 Cu: 1.53 ± 2.03 μg/L, Pb: 0.54 ± 1.00 μg/L, Zn: 8.11 ± 13.2 μg/L, Cd: 0.14 ± 0.24 μg/L, Cr6+: 0.25 ± 0.31 μg/L, T-Hg: 0.01 ± 0.02 μg/L, As: 0.92 ± 0.62 μg/L로 나타났다.
Long-term changes (2000–2023) in the concentrations of heavy metals (Cu, Pb, Zn, Cd, Cr6+, T-Hg and As) in surface water, based on mean values for February and August in Yeongil Bay. The red dashed line indicates the marine ecosystem protection standards.
Cu, Zn, Cd의 농도는 2000년대 초·중반에 일시적으로 증가하였다가 이후 점차 감소하여 2010년 이후에는 낮은 농도 수준을 유지하였다. Cu와 Zn는 2004~2005년에, Cd는 2000~2001년에 최고치를 기록하였다. Pb 또한 Cu, Zn, Cd와 유사하게 2000년대 초·중반에 농도가 증가하였다가 이후 감소하는 추세가 나타났지만, 2018년에 최고치를 기록하였으며 2023년에도 비교적 높은 값이 나타났다(Fig. 3). 2000년대 초·중반에 나타난 Cu, Zn, Cd, Pb의 높은 농도는 특정 요인에 의해 해당 시기에 해수 중 금속 농도가 증가한 결과로 판단된다. 영일만 해역에서는 1997년부터 2003년까지 저질 개선을 위한 준설사업이 진행되었으며(Yoon et al.[2003]; Pohang Regional Office of Oceans and Fisheries[2025]), 따라서 준설 작업 중 오염된 해저 퇴적물이 물리적으로 교란되면서 해수 중 해당 중금속의 농도에 영향을 미친 것으로 사료된다. 이는 같은 시기 퇴적물 내 Cu, Zn, Pb, Cd의 농도가 높게 나타난 결과와도 잘 부합한다(“3.5 퇴적물 중금속 농도의 시계열 분포 특성” 참고). 일반적으로 퇴적물 내 중금속은 환경의 물리·화학적 조건 변화에 따라 수층으로 재용출될 수 있다(Ra et al.[2013]). 특히 준설과 같은 물리적 교란은 탈착(desorption) 및 재이동(remobilization)을 촉진하여, 해수 내 중금속 농도를 증가시킨 원인으로 판단된다. Cr6+은 2000년대 초반 농도가 일시적 증가한 후 감소하는 경향을 보였으나, 2011년에 다시 급증하여 다른 원소와 다른 이질적인 특성이 나타났다. 이는 해당 시기 Cr6+의 농도에 영향을 미치는 다른 유입원이 존재했을 가능성을 시사한다. T-Hg는 2000년대 초반 상대적으로 높은 농도를 보였으나 이후 지속적으로 감소하여 2010년 이후에는 낮은 농도 수준으로 유지되었다. 이는 2004년 수질오염총량관리제 도입과 함께 추진된 포항 산업단지 내 분류식 하수관거 정비사업과 완충저류시설의 단계적 확충으로 과거 수은의 주요 유입 경로였던 초기 우수 및 사고성 폐수의 영일만 직유입을 효과적으로 차단하여, 영일만으로 배출되는 실질적인 오염 부하량을 감소시킨 원인으로 판단된다. 반면, As는 2000년대 초반 상대적으로 낮은 농도를 보였으나, 2010년대부터 점차 농도가 증가하여 최근까지 비교적 높은 농도 수준을 유지하고 있다. 이는 2010년대 이후 담수 또는 산업 폐수를 통해 해당 원소들의 추가적인 유입이 있었을 가능성을 시사한다. Cr6+과 As의 경우 다른 금속 원소들과 상이한 농도 경향을 보여, 서로 다른 기원과 거동 양상을 가지는 것으로 판단된다.
3.3 해수 중금속 오염도 평가
해수 중 중금속 오염 평가를 위해 해양생태계 보호 기준과 비교하였다. 해양생태계 보호를 위한 중금속 해수 기준은 해양수산부 고시(2018-10호)에 의거하여 설정되었으며, 본 연구에서는 해당 기준 중 단기기준과 비교하여 적용하였다(Table 2). 해양생태계 보호 기준을 초과한 Cu와 Zn의 정점별 농도 분포를 Fig. 4, 5에 나타내었다. 현재 시행중인 해양생태계 보호기준은 Cu의 경우 단기기준 3.0 μg/L, Zn은 단기기준 34 μg/L로 설정되어 있다.
Long-term changes (2000–2023) in copper (Cu) concentrations in surface seawater at each station. Black and gray bars indicate values for February and August, respectively, and the red dashed line represents the marine ecosystem protection standards.
Long-term changes (2000–2023) in zinc (Zn) concentrations in surface seawater at each station. Black and gray bars indicate values for February and August, respectively, and the red dashed line represents the marine ecosystem protection standards.
Cu는 2000년과 2001년 2월, 2004년과 2005년 2월 및 8월에 해양생태계 보호 단기기준인 3 μg/L를 초과하였으며, Zn은 2004년 2월과 2006년 8월에 각각 34.3 μg/L, 38.19 μg/L로 기준(34 μg/L)을 약간 초과하였으나, 2005년 2월과 8월에는 각각 60.94 μg/L와 58.26 μg/L를 기록하며 해양생태계 보호 단기기준보다 약 1.7~1.8배 높은 수준을 나타냈다.
Cu의 농도 분포는 2004년과 2005년에 데이터가 존재하지 않는 H1 정점을 제외한 모든 정점에서 기준치를 초과하였다. 특히 산업단지와 가장 인접하고 가장 내만에 위치한 Y2 정점에서 13.91 μg/L로 최고 농도가 관찰되었으며, 이는 단기기준(3.0 μg/L)보다 약 4.6배 높은 수준이었다. Cu 농도는 내만에서 외양으로 갈수록 점진적으로 감소하는 공간적 분포 패턴을 나타냈다. 이는 강과 하구에서 상대적으로 높은 농도가 나타나고 외양 해수에서는 구리 농도가 낮아지는 경향을 보이는 이전 연구와 일치된 경향을 보인다(Vance et al.[2008]). 이러한 분포 특성은 육상 오염원, 특히 산업단지에서 배출되는 물질이 Cu의 주요 오염원임을 시사한다. Y2 정점 외에도 데이터가 존재하지 않는 H1 정점을 제외한 Y6, Y11, H2 정점에서 각각 8.12 μg/L, 8.01 μg/L, 5.19 μg/L의 높은 농도를 보여 전반적으로 2004년과 2005년에 연구 해역에서 인위적 기원 Cu 영향이 높은 상태였음을 확인할 수 있다.
Zn 농도는 가장 외양에 위치한 Y11 정점에서 2005년 89.71 μg/L로 최고값이 관찰되었으며, 이는 해양생태계 보호기준 단기기준(34 μg/L) 대비 약 2.6배를 초과하는 수준이었다. Y2 정점에서도 62.11 μg/L의 높은 농도가 측정되어 단기기준을 약 1.8배 초과하였다. Zn 농도의 공간적 분포는 Cu와 다른 양상을 보였는데, 이는 Zn의 오염원이 Cu와는 다른 특성을 가지고 있음을 의미한다. 특히 Y11 정점에서 Zn의 높은 농도는 영일만 바깥쪽에 특정 오염원이 존재할 가능성을 시사하며, 이에 대한 추가적인 오염원 조사가 필요하다.
해양환경에서 Cu와 Zn 모두 미생물에게 필수적인 미량 영양염으로 알려져 있지만, 인위적인 요인으로 인해 농도가 높아질 경우 생물학적 체계 내에서 독성을 유발할 수 있다고 알려져 있다(Sunda and Huntsman[1998]; Durán and Beiras[2013]). 두 금속원소의 경우 본 연구에서 해양생태계 보호기준을 초과한 정점이 존재하는 만큼 영일만에서 Cu와 Zn에 대한 중장기적 모니터링과 오염원 관리의 필요성이 강조된다.
종합적으로, 해수 중 중금속 농도는 시공간적으로 변동이 크고 인위적 활동의 영향을 쉽게 받기 때문에, 영일만 내 해수 중 중금속 농도의 지속적 관측을 통한 오염원 추적 및 심도 있는 관리가 필요하다고 판단된다.
3.4 퇴적물 물리화학적 특성
퇴적물의 평균입도(Mean grain size; Mz)와 유기물 함량 특성을 나타내는 산 휘발성 황화물(Acid Volatile Sulfide; AVS), 강열감량(Ignition Loss; IL), 화학적산소요구량(Chemical Oxygen Demand; COD)의 정점별 평균값을 Table 3에 연도별 평균값을 Fig. 6에 나타내었다.

Mean values of sediment parameters (Mean grain size, AVS, Ignition Loss, chemical oxygen demand (COD)) in Yeongil Bay from 2000 to 2023
Long-term changes (2000–2023) in sediment parameters (Mean grain size, AVS, Ignition Loss, chemical oxygen demand (COD)) based on the mean values in Yeongil Bay.
영일만 퇴적물의 평균입도는 1.16-10.52 Φ (평균 6.28 Φ) 범위를 보이며, 전반적으로 실트(silt) 크기의 세립질 퇴적물이 우세하였다. 이는 반폐쇄성 내만의 퇴적환경 특성을 반영하며(Allen[1993]), 세립질 퇴적물의 높은 비표면적은 미량금속 흡착에 유리한 조건을 제공한다(Horowitz[1991]). 일부 정점에서 관찰된 점토(Clay, 8 Φ 이상) 및 사질(Sand, 4 Φ 이하) 퇴적물의 공간적 분포 변동은 조류 및 파랑에너지, 그리고 육상 퇴적물 공급의 변동성에 영향을 받는다는 것을 시사한다(Gao and Collins[1992]).
AVS와 COD는 각각 ND~1.265 mg S/g‧dry(평균 0.26 mg S/g‧dry), 3.15~36.58 mg O2/g‧dry(평균 13.46 mg O2/g‧dry)의 범위로 나타났다. 현재 우리나라의 일반 해양환경기준에는 AVS와 COD에 대한 별도의 기준이 설정되어 있지 않다. 따라서 본 연구에서는 오염도를 평가하기 위해 일본의 퇴적물 기준을 적용하였다. 일본에서 수산생물 보호를 위해 생물에 영향을 주는 기준 농도로 AVS와 COD에 대하여 각각 0.2 mg S/g‧dry, 20 mg O2/g‧dry을 제시하고 있다(Yokoyama[2000]).
AVS의 경우 전체 분석 시료의 약 47%가 일본의 기준 농도(0.2 mg S/g‧dry)를 초과하는 것으로 나타났다. 정점별로는 포항신항 정점인 H2에서 약 67%가 기준을 초과하였으며, 특히 2015년 H2 정점에서는 1.145 mg S/g‧dry의 최고 농도를 기록하였다. AVS가 높다는 것은 퇴적물 내 황화물이 많다는 의미로, 중금속이 황화물과 결합해 비생물학적으로 존재하며 상대적으로 생물에게 독성을 나타내지 않을 수 있지만, 산화 등 환경변화 시 황화물이 분해되면 결합된 중금속이 용출되어 생태계에 잠재적 독성을 미칠 수 있다(Zhang et al.[2014]). COD의 경우 농도는 일부 정점(Y6의 2012년, 2021년, Y11의 2005년, 2018년, 2021년, 2022년, 2023년, H1의 2003년, 2022년, H2의 2004년, 2010년, 2019년)에서 일본의 기준 농도(20 mg O2/g‧dry)을 초과하였다.
IL은 1.05~20.32%(평균 6.07%)의 범위로 나타났다. 정점별 IL의 평균값을 비교한 결과, Y2(4.94%)와 Y6(4.91%)보다 Y11(6.14%), H1(7.20%), H2(7.00%)의 값이 더 높게 나타난 것으로 보아 해당 정점의 유기물 함량이 상대적으로 높은 것을 알 수 있다. IL과 COD는 범위가 정점별로 크게 나타나 공간별, 연도별 변동성이 큼을 알 수 있었다.
3.5 퇴적물 중금속 농도의 시계열 분포 특성
2000년부터 2023년까지 영일만 퇴적물에서 중금속(Cu, Zn, Pb, Cd, Cr, Hg, As)의 연도별 평균 농도를 Fig. 7에, 2013년부터 2023년까지 중금속(Ni, Mn, Co, Li, Al)의 연도별 평균 농도를 Fig. 8에 나타내었다.
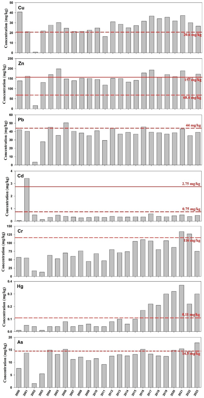
Long-term changes (2000–2023) in annual average concentrations of Cu, Zn, Pb, Cd, Cr, Hg, and As in surface sediments. The red dashed line indicates the TEL, and the solid red line represents the PEL.
Long-term changes (2013–2023) in annual average concentrations of Ni, Mn, Co, Li, Fe, and Al in surface sediments. The red dashed line indicates the TEL.
Cu, Zn, Pb, Cd, Cr, Hg, As, Ni, Mn, Co, Li, Fe, Al는 각각 0.85~40.67 mg/kg(평균 27.02 ± 8.21 mg/kg), 15.96~198.8 mg/kg(평균 151.2 ± 35.00 mg/kg), 3.54~50.6 mg/kg(평균 37.6 ± 8.74 mg/kg), 0.05~3.41 mg/kg(평균 0.49 ± 0.63 mg/kg), 13.4~134 mg/kg(평균 74.3±30.2 mg/kg), 0.01~0.37 mg/kg(평균 0.12±0.11 mg/kg), 1.64~17.82 mg/kg(평균 12.25 ± 3.47 mg/kg), 16.65~25.99 mg/kg(평균 21.10 ± 2.95 mg/kg), 424~671 mg/kg(평균 568 ± 93.1 mg/kg), 6.86~9.77 mg/kg(평균 7.97 ± 0.76 mg/kg), 36.39~62.64 mg/kg(평균 44.74 ± 7.72 mg/kg), 3.22~4.24%(평균 3.75 ± 0.32%), 5.84~7.5 5%(평균 6.87 ± 0.57%) 범위였다.
입도(Φ)과 중금속 농도 간의 상관분석 결과, 대부분의 항목에서 뚜렷한 선형 관계는 관찰되지 않았다(r < 0.5). 이는 영일만이 입도 분포와 같은 자연적 요인보다는, 시공간적으로 불규칙하게 유입되는 인위적 오염원에 의해 더 지배적인 영향을 받고 있음을 시사한다.
영일만 퇴적물 내 중금속 평균 농도를 다른 유사 환경과 비교하기 위해 산업단지가 위치한 항만 및 반폐쇄적 내만에서 보고된 퇴적물 중금속 농도를 조사하였다(Table 4). 광양만은 본 연구 해역과 비교하였을 때 Ni을 제외한 모든 중금속 농도가 상대적으로 낮게 나타났으며(Hyun et al.[2003]), 경기만의 경우 여름철과 겨울철 모든 중금속 농도가 상대적으로 낮게 관찰되었다(Won et al.[2020]). 반면, 마산만은 모든 중금속 농도가 상대적으로 높게 관찰되었는데, 이는 마산만의 연구 정점이 산업단지와 근접하게 위치함으로 인해 나타난 결과로 판단된다(Sun et al.[2014]). 그 외 진해만에서는 Cu, Cd, Ni이 높게 나타났으며(Cho and Lee[2012]), 울산-온안 연안에서는 Cd과 Cr을 제외한 모든 중금속 농도가 높게 나타났다(Sun et al.[2015]).
3.6 퇴적물 중금속 오염도 평가
퇴적물 중 중금속 오염도를 평가하는 방법에는 농축계수(enrichment factor, EF), 농집지수(geoaccumulation index, Igeo), 농도농축비(Concentration Enrichment Ratio, CER), 오염부하량지수(Pollution Load Index, PLI), 생태위해지수(Ecological Risk Index, ERI) 등이 있다. 본 연구에서는 이들 중 Müller[1979]가 제안한 Igeo를 적용하여 오염도를 평가하였다. Igeo는 해역의 지형학적 특성이 반영될 수 있으며, 해당 해역의 오염 수준을 정량화하는 데 유용하다(Lee et al.[2008]). Igeo는 값의 범위에 따라 7단계로 분류하여 오염 정도를 평가하며(Table 5), 인위적 오염도를 판단하는 데 사용된다. Igeo는 다음의 계산식을 통해 산출된다.
Cn은 측정된 중금속의 농도, Bn은 각 중금속의 배경농도(background concentration)를 나타낸다. 배경농도는 Woo et al.[2019]이 보고한 Li으로 표준화된 한반도 연안 퇴적물의 중금속 배경농도(Cu: 14.7 mg/kg, Zn: 69.8 mg/kg, Pb: 25.2 mg/kg, Cd: 0.134 mg/kg, Cr: 46.1 mg/kg, Hg: 0.0159 mg/kg, As: 7.4 mg/kg, Ni: 20 mg/kg)를 활용하였다.
영일만 퇴적물에서 정점별 중금속 농도의 평균값으로 Igeo 평가한 결과를 Table 6에 나타내었다. Cu는 Igeo class 0~2 사이로 unpolluted~ moderately polluted, Pb와 Cr은 Igeo class 0~1 사이로 unpolluted~unpolluted/moderately polluted, Zn과 Cd은 Igeo class 1~2 사이로 unpolluted to moderately polluted~moderately polluted, Hg은 Igeo class 2~5 사이로 moderately polluted~strongly/very strongly polluted, As는 Igeo class 1으로 unpolluted to moderately polluted, Ni은 Igeo class 0으로 unpolluted 상태였다. 공간적으로는 Ni(Igeo class 0)을 제외하고 내만 정점(Y2, Y6, Y11)의 경우 Igeo class 0~2(unpolluted~moderately polluted), 항만 정점(H1, H2)은 Igeo class 2~5(moderately polluted~strongly/very strongly polluted)로, 항만 정점이 내만 정점보다 상대적으로 높게 나타났다.
국내 주요 연안의 평균 농도를 바탕으로 산출된 Igeo 값을 Table 7에 나타내었다. 영일만은 전반적으로 청정한 상태(Igeo Class 0)를 보인 광양만과 경기만에 비해서는 높은 오염도(Igeo Class 0~3)를 보였으며, 진해만과 마산만의 경우 Cu, Zn, Cd에서 Igeo Class 1~2를 나타내어 영일만과 유사한 오염 양상을 보였다. 반면, 울산-온산 연안과 비교했을 때 대부분의 중금속 항목에서 영일만보다 높은 오염 등급이 확인되었다. Hg는 Igeo Class 4로 심각한 오염 수준을 보였다. 그러나 영일만 역시 Hg가 Igeo Class 3으로 높은 오염도를 보였으며, Cd 또한 Igeo Class 2를 나타내어 울산-온산, 진해, 마산과 동일한 오염 등급을 나타내었다. 다른 해역과의 Igeo 비교 평가를 종합해 볼 때, 영일만은 Hg와 Cd가 다른 중금속 항목에 비해 인위적인 오염 축적이 상대적으로 뚜렷하게 진행된 것으로 판단된다. 따라서 향후 Hg와 Cd를 우선순위로 모니터링을 수행할 필요가 있다.

Comparison of Igeo values based on mean heavy metal concentrations in sediments between the study region and other coastal regions of Korea
또한, 해양수산부(고시 제2018-10호에)서 제정한 해양환경기준 중 우리나라의 배경농도와 생물영향을 고려하여 설정된 퇴적물 오염기준인 주의기준(threshold effects level, TEL)과 관리기준(probable effects level, PEL)과도 비교하였다. 퇴적물 중금속 농도에 대한 해양환경기준 값을 Table 4에 나타내었다. 이 기준에서 Cu와 Zn의 경우 Li 농도를 이용하여 입도 보정한 결과값을 기준농도와 비교하도록 규정하고 있다. 그러나 본 연구의 2014년 이전 데이터는 해당 기준 도입 이전에 획득된 자료로서, Li 항목에 대한 측정값이 부재하여 2014년 이전의 Cu 및 Zn 데이터는 기준치와의 비교 평가 대상에서 제외하였다. Cu와 Zn을 제외한 6개 금속(Pb, Cd, Cr, As, Hg, Ni)에 대해서는 기준 농도와 직접 비교하였다.
Cu는 모든 연도에서 주의기준(20.60 mg/kg)을 초과하는 경향을 보였다. Zn는 모든 연도에서 주의기준(68.40 mg/kg)을 초과하였으며, 2016년, 2017년, 2019년, 2020년, 2021년, 2023년에는 관리기준(157 mg/kg)을 초과하였다. Pb는 2004년, 2006년, 2016년에 주의기준(44 mg/kg)을 초과하였다. Cd은 대부분의 연도에서 안정적인 농도 수준을 유지하였으나, 2001년에 관리기준(2.72 mg/kg)를 크게 상회하는 급격한 농도 증가가 관찰되었다. Cr은 2002년과 2003년에 낮은 농도를 기록했으나, 이후 전반적으로 증가하는 경향을 보였으며, 2021년과 2022년에 주의기준(116 mg/kg)을 초과하였다. Hg은 2000년대 초반 낮은 농도를 유지하다가, 2010년대 초반부터 점진적으로 증가하는 경향이 나타났으며, 특히 2016년부터 2023년까지는 주의기준(0.11 mg/kg)을 지속적으로 초과하였다. As는 2002년에 가장 낮은 값을 기록한 이후 대체적으로 증가하는 경향을 보였으며, 7개 년도(2004년, 2006년, 2016년, 2020년, 2021년, 2022년, 2023년)에서 주의기준(14.5 mg/kg)을 초과하였다.
Cu, Zn, Pb, Cd, Cr, Hg, As 농도는 연도별 뚜렷한 변화 양상이 보였으며, 일부 연도에서는 주의기준 및 관리기준을 초과 사례가 빈번히 나타났다. 특히 Cu, Zn는 대부분의 연도에서 기준치를 반복적으로 초과하였으며, Cr, Hg, As는 최근 증가하는 추세를 보임에 따라 퇴적물 환경 및 생태계에 부정적 영향을 미칠 우려가 있다. 최근 관찰되는 Cr, Hg, As의 증가 경향은 형산강을 통해 유입되는 산업단지 기원 오염 부하와 밀접한 관련이 있는 것으로 판단된다. Seo et al.[2023]은 포항 철강산업단지 인근 구무천과 형산강 본류 퇴적물의 고농도 중금속 오염이 산업단지 배출수에서 기원함을 확인한 바 있다. 최근 연구는 이러한 하천 기원 오염물질이 실제 해양으로 확산됨을 뒷받침하는데, Kim et al.[2025]은 수은 동위원소 분석과 수치 모델링을 통해 형산강에서 유입된 오염물질이 해수 유동을 따라 영일만 내부로 지속적으로 수송되어 축적됨을 규명하였으며, 영일만 내에서 대기 기원 수은의 기여를 확인하였다. 종합해 볼 때, 최근 관찰된 해당 중금속들의 농도 상승은 형산강을 통한 산업 배출수의 유입과 대기 침적 등 다양한 잠재적 오염원이 복합적으로 기여한 결과로 해석된다. Ni, Co, Fe, Al, Li은 비교적 안정적인 농도를 유지했으며, Mn은 점차 증가하는 경향을 보였다. 이러한 변화는 지역 산업화, 항만 활동, 자연환경 변화 등 외부 요인의 영향을 받은 결과로 판단된다. 한편, 1996년부터 2011년까지 진행된 영일만항 건설 사업과 2006년부터 2013년까지의 포항운하 건설 사업(Pohang Regional Office of Oceans and Fisheries[2025])이 환경 변화 및 외부 유입에 영향을 주었을 가능성이 있다. 따라서, 본 연구에서 얻어진 결과는 퇴적물 중금속에 대한 지속적인 모니터링과 관리의 필요성을 제시하고 있다.
대부분의 연도에서 주의기준을 초과한 Cu와 Zn의 농도를 정점별로 나타내었다(Fig. 9). Cu는 Y2에서 0.85~40.67 mg/kg(평균 19.01 ± 9.04 mg/kg), Y6에서 10.07~33.61 mg/kg(평균 15.33 ± 4.92 mg/kg), Y11에서 11.25~32.49 mg/kg(평균 18.74 ± 4.29 mg/kg), H1에서 36.04~86.49 mg/kg(평균 63.17 ± 6.39 mg/kg), H2에서 19.81~58.18 mg/kg(평균 41.01 ± 9.46 mg/kg)의 범위를 보였으며, Zn는 Y2에서 15.96~231.74 mg/kg(평균 132.84± 43.08 mg/kg), Y6에서 79.05~209.79 mg/kg(평균 120.25 ± 28.81 mg/kg), Y11에서 101.77~194.51 mg/kg(평균 133.78 ± 28.33 mg/kg), H1에서 181.02~314.42 mg/kg(평균 225.86 ± 37.51 mg/kg), H2에서 129.38~270.75 mg/kg(평균 206.91 ± 31.85 mg/kg)의 범위를 보였다.
Long-term changes (2000–2023) in concentrations of Cu and Zn in surface sediments at each station. The red dashed line indicates the TEL, and the solid red line represents the PEL.
Cu와 Zn 모두 H1과 H2 정점에서 상대적으로 높은 농도가 관찰되었으며, 이 두 정점은 포항구항 및 신항이 위치한 정점으로 항만 및 물류 활동의 영향으로 높은 농도가 나타났을 것으로 판단된다. 내만에 위치한 Y2 정점에서도 비교적 높은 농도가 나타났으나, Cu는 내만에서 외양으로 갈수록 농도가 감소하는 뚜렷한 공간적 경향을 보였다. 반면, Zn는 영일만 가장 외부에 위치한 Y11 정점에서도 높은 농도가 관찰되었다. 일반적으로 Zn의 주요 인위적 오염원으로는 산업활동(광업, 제련업, 제조업), 대기강하물, 농업활동, 그리고 선박의 아연 양극(zinc anode) 및 방오도료 사용 등이 제안된다(Zhang et al.[2012]; Rees et al.[2020]). 이러한 오염원의 특성을 고려할 때, Y11 정점의 높은 Zn 농도는 외해 인근의 선박 활동 등 외부의 추가적인 오염원에 의한 영향일 가능성이 있다. 또는, 영일만 내부의 수리학적 순환(hydrodynamic circulation)과 퇴적물의 재부유 (resuspension) 등 동역학적 요인에 기인한 것으로 해석된다. 최근 연구에 따르면, 영일만 내 형산강 및 항만에서 기원한 오염물질이 복잡한 해수 유동에 의해 외해로 수송(transport)되거나, 입도 분급(sorting) 과정을 거쳐 특정 구역에 집적될 수 있음이 보고된 바 있다(Kim et al.[2025]). 따라서, 본 연구해역의 퇴적물 내 Cu와 Zn 농도 분포는 항만 및 주변 산업 활동뿐만 아니라 다양한 인위적 오염원의 유입과 해양 물리적 기작이 복합적으로 작용한 결과로 판단되며, 이에 대한 통합적인 오염 관리와 지속적인 모니터링이 요구된다.
4. 결 론
본 연구에서는 영일만에서 2000년부터 2023년까지의 해수 및 퇴적물 내 중금속 분포 특성과 장기적 변동 추세를 파악해보고 평가하였다. 해수 중 중금속 농도는 시공간적으로 큰 변동성을 보였으며, 특히 2000년대 초·중반에 일시적인 농도 증가가 나타난 후 점진적으로 감소하는 패턴을 보였다. 이러한 변화는 1997년부터 2003년까지 실시된 저질 개선 준설사업이 해수 중 중금속 농도에 영향을 미친 것으로 판단된다. Cu와 Zn의 경우 2004~2005년에 해양생태계 보호 단기기준을 초과하였으며, 최근 산업단지와 인접한 내만 해역에서 높은 농도가 관찰됨에 따라 육상 오염원의 영향 또는 산업단지와 항만 활동과 밀접한 관련이 있음을 시사한다. 퇴적물의 경우 Cu, Zn, Hg, As이 해양환경기준의 주의기준 또는 관리기준을 빈번히 초과하였다. 특히 Cu와 Zn는 대부분의 연도에서 주의기준을 초과하는 것으로 나타났으며, 이는 영일만에서 두 원소의 오염 정도가 다른 원소들과 비교하여 우려되고 있는 상황임을 보여준다. 공간적 분포로 볼 때 항만 및 산업단지와 인접한 H1, H2 정점에서 가장 높게 나타났다. 이는 육상 기원 오염원의 영향을 직접적으로 받는 해역의 특성을 반영하는 것으로, 인위적 활동이 퇴적물 중금속의 농도 축적에 주요한 요인이라는 것을 뒷받침한다. 2010년대 이후 Cr, Hg, As의 농도가 점진적으로 증가하는 경향을 보인 것은 형산강을 통한 산업 배출수의 유입과 대기 침적 및 해수 유동에 의한 확산 등 다양한 잠재적 오염원의 기여임을 시사한다. 특히 영일만 일대가 이차전지 특화 산업단지로 개발되고 있는 현재 상황에서 이러한 중금속 농도 증가는 산업 활동의 변화와 관련이 있을 가능성이높다. 또한, 본연구해역의오염특성을객관적으로평가하기 위해 Igeo 를 국내 주요 연안 해역과 비교한 결과, 영일만은 Hg와 Cd에서 상대적으로 뚜렷한 오염 축적 경향이 나타나 관리가 필요함을 보여주었다.
종합적으로, 해수 중 중금속은 시공간적 변동성이 크고 인위적 활동의 영향을 쉽게 받기 때문에 정기적인 관측을 통한 오염원 추적 및 지속적인 관리가 필요하다. 특히 퇴적물의 경우 해양환경기준을 빈번히 초과하는 Cu와 Zn에 대한 관리와 더불어, 타 해역과의 비교 평가에서 높은 오염도를 보인 Hg와 Cd를 우선적인 모니터링 대상 물질로 선정하여 집중적인 관리를 수행해야 한다. 아울러 최근 증가 추세를 보이는 Cr, Hg, As에 대해서도 중장기적 관리계획 수립이 필요하다고 판단된다. 본 연구는 영일만에서 장기간에 걸친 해수 및 퇴적물 내 중금속의 시공간적 분포 특성과 변동 추세를 종합적으로 평가한 첫 연구 사례로, 향후 연안환경 관리를 위한 정책 수립에 중요한 과학적 기초자료로 활용될 것으로 기대한다.
Acknowledgments
이 논문은 2024년 해양환경 정보(영일만) 활용 협업대학 운영 사업 지원을 받아 수행된 연구임. 해양환경공단의 해양환경측정망 운영 자료를 활용하여 수행되었음.
References
-
Adams, S.V., Quraishi, S.M., Shafer, M.M., Passarelli, M.N., Freney, E.P., Chlebowski, R.T., Luo, J., Meliker, J.R., Mu, L. and Neuhouser, M.L., 2014, Dietary cadmium exposure and risk of breast, endometrial, and ovarian cancer in the Women’s Health Initiative, Environ. Health Perspect., 122(6), 594-600.
[https://doi.org/10.1289/ehp.1307054]
-
Allen, J., 1993, Muddy alluvial coasts of Britain: field criteria for shoreline position and movement in the recent past, Proc. Geol. Assoc., 104(4), 241-262.
[https://doi.org/10.1016/S0016-7878(08)80044-2]
-
Boyle, E.A., Lee, J.-M., Echegoyen, Y., Noble, A., Moos, S., Carrasco, G., Zhao, N., Kayser, R., Zhang, J., Gamo, T., Obata, H. and Norisuye, K., 2014, Anthropogenic lead emissions in the ocean: The evolving global experiment, Oceanography, 27(1), 69-75.
[https://doi.org/10.5670/oceanog.2014.10]
-
Bruland, K.W., Middag, R. and Lohan, M.C., 2014, Controls of trace metals in seawater. In: Holland HD, Turekian KK (eds), Treatise on Geochemistry, 2nd edn., Elsevier, pp. 19-51.
[https://doi.org/10.1016/B978-0-08-095975-7.00602-1]
-
Cho, Y.G. and Lee, C.B., 2012, Heavy metal concentration in surface sediments from Masan and Jinhae Bay, southeast coast of Korea, J. Kor. Soc. Mar. Environ. Eng., 15(4), 302-313.
[https://doi.org/10.7846/JKOSMEE.2012.15.4.302]
-
Durán, I. and Beiras, R., 2013, Ecotoxicologically based marine acute water quality criteria for metals intended for protection of coastal areas, Sci. Total Environ., 463, 446-453.
[https://doi.org/10.1016/j.scitotenv.2013.05.077]
-
Fichet, D., Radenac, G. and Miramand, P., 1998, Experimental studies of impacts of harbour sediments resuspension to marine invertebrates larvae: bioavailability of Cd, Cu, Pb and Zn and toxicity, Mar. Pollut. Bull., 36(7), 509-518.
[https://doi.org/10.1016/S0025-326X(97)00190-2]
-
Gao, S. and Collins, M., 1992, Net sediment transport patterns inferred from grain-size trends, based upon definition of “transport vectors”, Sediment. Geol., 81(1-2), 47-60.
[https://doi.org/10.1016/0037-0738(92)90055-V]
-
Gaur, V.K., Gupta, S.K., Pandey, S.D., Gopal, K. and Misra, V., 2005, Distribution of heavy metals in sediment and water of river Gomti, Environ. Monit. Assess., 102(1), 419-433.
[https://doi.org/10.1007/s10661-005-6395-6]
-
Hong, Y.-S., Song, K.-H. and Chung, J.-Y., 2014, Health effects of chronic arsenic exposure, J. Prev. Med. Public Health, 47(5), 245.
[https://doi.org/10.3961/jpmph.14.035]
-
Horowitz, A.J., 1991, A Primer on Sediment-Trace Element Chemistry, 2nd edition, U.S. Geological Survey Open-File Report 91-76, 136 p.
[https://doi.org/10.3133/ofr9176]
-
Huang, J., Ge, X. and Wang, D., 2012, Distribution of heavy metals in the water column, suspended particulate matters and the sediment under hydrodynamic conditions using an annular flume, J. Environ. Sci., 24(12), 2051-2059.
[https://doi.org/10.1016/S1001-0742(11)61042-5]
- Hyun, S.M., Lee, T.H., Choi, J.S., Choi, D.L. and Woo, H.J., 2003, Geochemical characteristics and heavy metal pollutions in the surface sediments of Gwangyang and Yeosu Bay, south coast of Korea, J. Kor. Soc. Oceanogr., 8(4), 380-391.
-
Kabata-Pendias, A., 2000, Trace Elements in Soils and Plants, third ed., CRC Press, Boca Raton, FL.
[https://doi.org/10.1201/9781420039900]
-
Kang, Y.S., Kim, K.Y., Shim, J.M., Sung, K.T., Park, J.I. and Kong, J.Y., 2002, Spatiotemporal variations of water quality in Yongil Bay, J. Korean Fish. Soc., 35(4), 431-437, 130947.
[https://doi.org/10.5657/kfas.2002.35.4.431]
- Kim, J., 2001, The characteristics of tidal residual current in Youngil Bay, J. Korean Soc. Mar. Environ. Eng., 4(1), 14-23.
-
Kim, J. and Kim, T., 2023, Distributions of dissolved rare earth elements and anthropogenic gadolinium in the Yeongil Bay, Korea, J. Geol. Soc. Korea., 59(3), 453-461.
[https://doi.org/10.14770/jgsk.2023.036]
-
Kim, Y.G., Kim, D.H., Hwang, J.H., Choi, M.S. and Kwon, S.Y., 2025, Source-specific contamination process revealed by mercury isotope analyses and hydrodynamic modeling in an estuary, J. Hazard. Mater., 139764.
[https://doi.org/10.1016/j.jhazmat.2025.139764]
- Kim, Y.S. and Kim, Y.S., 2004, The effect of freshwater inflow on the spatio-temporal variation of water quality of Yeongil bay, Korean J. Environ. Biol, 22(1), 57-65.
-
Koh, C.-H., Khim, J.S., Villeneuve, D.L., Kannan, K. and Giesy, J. P., 2006, Characterization of trace organic contaminants in marine sediment from Yeongil Bay, Korea: 1. Instrumental analyses, Environ. Pollut., 142(1), 39-47.
[https://doi.org/10.1016/j.envpol.2005.09.005]
-
Lee, M., Bae, W., Chung, J., Jung, H.S. and Shim, H., 2008, Seasonal and spatial characteristics of seawater and sediment at Youngil bay, Southeast Coast of Korea, Mar. Pollut. Bull., 57(6-12), 325-334.
[https://doi.org/10.1016/j.marpolbul.2008.04.038]
- Lee, M.K., Lim, D.I., Um, I.K., Sin, E.B. and Jung, H.S., 2003, Seasonal variation and spatial distribution of water qualities in Youngil Bay, southeast coast of Korea, J. Korean Soc. Environ. Eng., 25, 898-908 (in Korean with English abstract).
- Lee, M.-K., Bae, W., Um, I.-K. and Jung, H.-S., 2004, Characteristics of heavy metal distribution in sediments of Youngil Bay, Korea, J. Korean Soc. Environ. Eng., 26(5), 543-551.
-
Lim, D.-i., Choi, J.-W., Shin, H. H., Jeong, D. H. and Jung, H. S., 2013, Toxicological impact assessment of heavy metal contamination on macrobenthic communities in southern coastal sediments of Korea, Mar. Pollut. Bull., 73(1), 362-368.
[https://doi.org/10.1016/j.marpolbul.2013.05.037]
-
Liu, P., Hu, W., Tian, K., Huang, B., Zhao, Y., Wang, X., Zhou, Y., Shi, B., Kwon, B.-O. and Choi, K., 2020, Accumulation and ecological risk of heavy metals in soils along the coastal areas of the Bohai Sea and the Yellow Sea: A comparative study of China and South Korea, Environ. Int., 137, 105519.
[https://doi.org/10.1016/j.envint.2020.105519]
-
Long, E.R., Robertson, A., Wolfe, D.A., Hameedi, J. and Sloane, G.M., 1996, Estimates of the spatial extent of sediment toxicity in major US estuaries. Environ. Sci. Technol, 30(12), 3585-3592.
[https://doi.org/10.1021/es9602758]
-
Morel, F.M. and Price, N.M., 2003, The biogeochemical cycles of trace metals in the oceans, Science, 300(5621), 944-947.
[https://doi.org/10.1126/science.1083545]
-
Morillo, J., Usero, J. and Gracia, I., 2004, Heavy metal distribution in marine sediments from the southwest coast of Spain, Chemosphere, 55(3), 431-442.
[https://doi.org/10.1016/j.chemosphere.2003.10.047]
- Müller, G., 1979, Schwermetalle in den Sedimenten des Rheins Veränderungen seit 1971, Umsch., 79, 778-783.
-
Nouri, J., Mahvi, A.H., Jahed, G.R. and Babaei, A.A., 2008, Regional distribution pattern of groundwater heavy metals resulting from agricultural activities, Environ. Geol., 55(6), 1337-1343.
[https://doi.org/10.1007/s00254-007-1081-3]
- Pohang Regional Office of Oceans and Fisheries., 2025, Home page. Available at: https://pohang.mof.go.kr, (Accessed 25 November 2025).
-
Qu, L., Huang, H., Xia, F., Liu, Y., Dahlgren, R.A., Zhang, M. and Mei, K., 2018, Risk analysis of heavy metal concentration in surface waters across the rural-urban interface of the Wen-Rui Tang River, China, Environ. Pollut., 237, 639-649.
[https://doi.org/10.1016/j.envpol.2018.02.020]
-
Ra, K., Kim, E.-S., Kim, K.-T., Kim, J.-K., Lee, J.-M. and Choi, J.-Y., 2013, Assessment of heavy metal contamination and its ecological risk in the surface sediments along the coast of Korea, J. Coast. Res., (65), 105-110.
[https://doi.org/10.2112/SI65-019.1]
-
Rees, A.B., Gallagher, A., Wright, L.A., Wood, J., Cathery, T., Harrison, B., Down, C. and Comber, S., 2020, Leisure craft sacrificial anodes as a source of zinc and cadmium to saline waters, Mar. Pollut. Bull., 158, 111433.
[https://doi.org/10.1016/j.marpolbul.2020.111433]
-
Seo, M., Kim, J., Lee, J. and Choi, Y.-J., 2023, Assessment of heavy metal contamination and ecological risk in riverine sediments collected at the Hyeongsan River Basin, South Korea, J. Geol. Soc. Korea., 59(3), 463-472.
[https://doi.org/10.14770/jgsk.2023.038]
-
Singh, A.K., Mondal, G.C., Kumar, S., Singh, T.B., Tewary, B.K. and Sinha, A., 2008, Major ion chemistry, weathering processes and water quality assessment in upper catchment of Damodar River basin, India, Environ. Geol., 54(4), 745-758.
[https://doi.org/10.1007/s00254-007-0860-1]
-
Sun, C.I., Kim, D.J., Lee, Y.W. and Kim, S.S., 2015, Pollution and ecological risk assessment of trace metals in surface sediments of the Ulsan-Onsan coast, J. Korean Soc. Mar. Environ. Eng., 18(4), 245-253.
[https://doi.org/10.7846/JKOSMEE.2015.18.4.245]
-
Sun, C.I., Lee, Y.J., An, J.H. and Lee, Y.W., 2014, Speciation and ecological risk assessment of trace metals in surface sediments of the Masan Bay, J. Korean Soc. Oceanogr., 19(2), 155-163.
[https://doi.org/10.7850/jkso.2014.19.2.155]
-
Sunda, W.G. and Huntsman, S.A., 1998, Interactions among Cu2+, Zn2+, and Mn2+ in controlling cellular Mn, Zn, and growth rate in the coastal alga Chlamydomonas, Limnol. Oceanogr., 43(6), 1055-1064.
[https://doi.org/10.4319/lo.1998.43.6.1055]
-
Tchounwou, P.B., Yedjou, C.G., Patlolla, A.K. and Sutton, D.J., 2012, Heavy metal toxicity and the environment. Molecular, clinical and environmental toxicology: volume 3: environmental toxicology, pp. 133-164.
[https://doi.org/10.1007/978-3-7643-8340-4_6]
-
Vance, D., Archer, C., Bermin, J., Perkins, J., Statham, P.J., Lohan, M.C., Ellwood, M.J. and Mills, R.A., 2008, The copper isotope geochemistry of rivers and the oceans, Earth Planet. Sci. Lett., 274(1-2), 204-213.
[https://doi.org/10.1016/j.epsl.2008.07.026]
-
Wang, S.-L., Xu, X.-R., Sun, Y.-X., Liu, J.-L. and Li, H.-B., 2013, Heavy metal pollution in coastal areas of South China: a review, Mar. Pollut. Bull., 76(1-2), 7-15.
[https://doi.org/10.1016/j.marpolbul.2013.08.025]
-
Won, J.H., Lee, Y.W., Park, M.O. and Sun, C.I., 2020, Characteristics of seawater quality and surface sediments around Youngheung Island in Gyeonggi Bay, the Western coast of Korea, J. Korean Soc. Mar. Environ. Energy., 23, 246-257.
[https://doi.org/10.7846/JKOSMEE.2020.23.4.246]
- Woo, J., Lee, H., Park, J., Park, K., Cho, D., Jang, D., Park, S., Choi, M. and Yoo, J., 2019, Background concentration and contamination assessment of heavy metals in Korean coastal sediments, J. Korean Soc. Oceanogr., 24(1), 64-78.
- Yokoyama, H., 2000, Environmental quality criteria for aquaculture farms in Japanese coastal area – a new policy and its potential problems, Bull. Natl. Res. Inst. Aquac., 29, 123-134.
- Yoon, H., Lee, I. and Ryu, C., 2003, Spatial and temporal variation characteristics between water quality and pollutant loads of Yeong-il Bay (II)-Mutual variation between inflowing pollutant loads and water quality-, J. Ocean Eng. Technol., 17(5), 32-38.
-
Zhang, C., Yu, Z.G., Zeng, G.M., Jiang, M., Yang, Z.Z., Cui, F., Zhu, M.Y., Shen, L.Q. and Hu, L., 2014, Effects of sediment geochemical properties on heavy metal bioavailability, Environ. Int., 73, 270-281.
[https://doi.org/10.1016/j.envint.2014.08.010]
-
Zhang, X., Yang, L., Li, Y., Li, H., Wang, W. and Ye, B., 2012, Impacts of lead/zinc mining and smelting on the environment and human health in China, Environ. Monit. Assess., 184(4), 2261-2273.
[https://doi.org/10.1007/s10661-011-2115-6]

